The Sticky Note Compendium

I Lied

I lied about the certificate. I'm here to complain more about the SAE standards

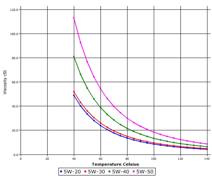
Oils are not linear with respect to temperature: therefore, two points are wholly insufficient to define an oil

sae curves

An oil that passes certification could have any goddamn curve it wanted as long as it hit the points at negative whatever for the W value and 100C. SAE 50 could look like this:

sae curves

or this:

sae curves

or god forbid this:

sae curves

Don't even get me started on defining the winter standards so that they change in viscocity AND temperature at the same time. SAE is a standard that makes me mad.